miércoles, 30 de noviembre de 2011
martes, 29 de noviembre de 2011
lunes, 28 de noviembre de 2011
viernes, 25 de noviembre de 2011
CUARTO EXAMEN PARCIAL
Distribución de temas:
- Serie Geométrica y de Taylor (15%)
- Variable Aleatoria Discreta (42%)
- Variable Aleatoria Continua (43%)
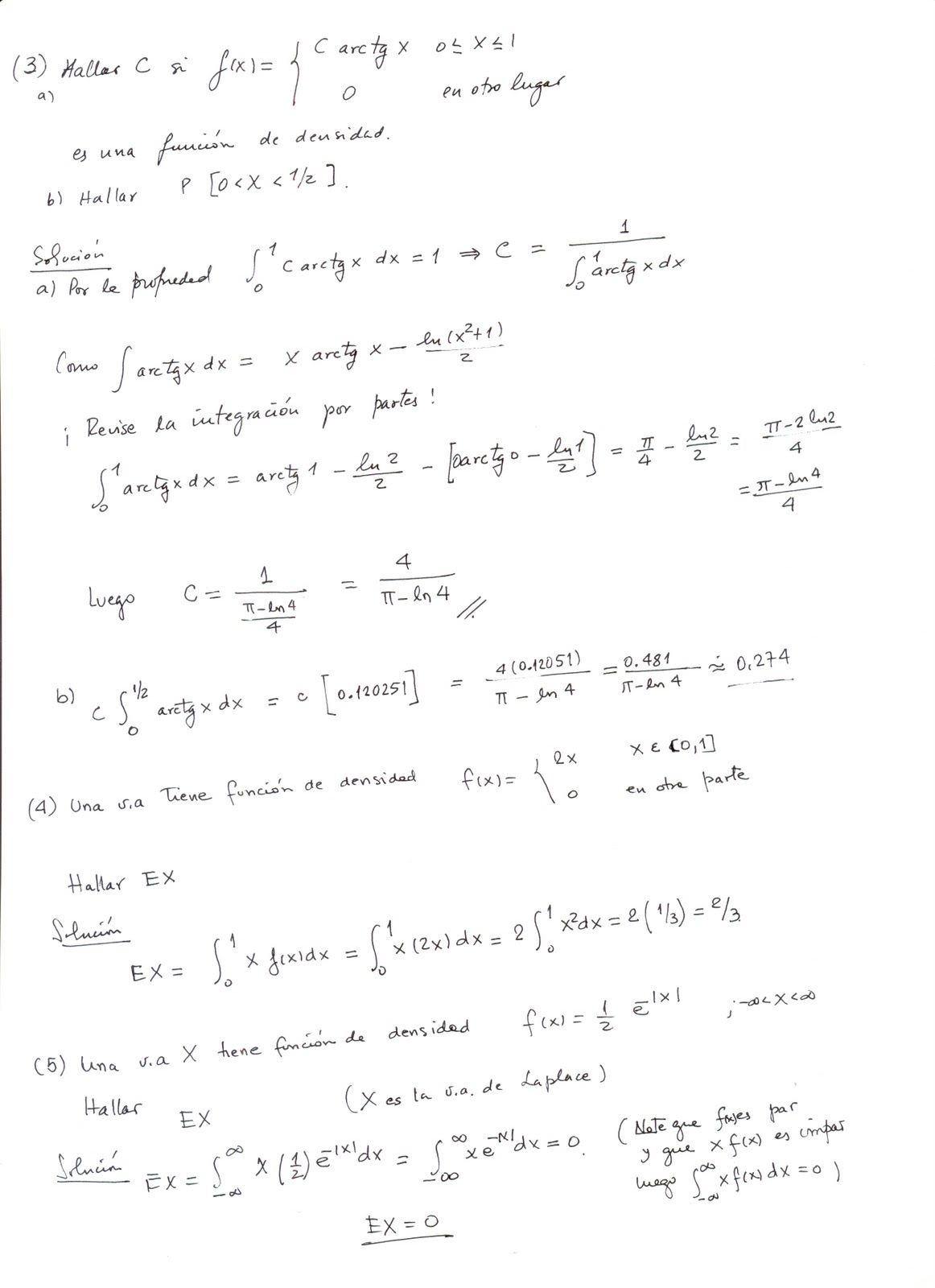
VARIABLES ALEATORIAS CONTINUAS
Ejercicios Resueltos.
Referencias: Cálculo - Hoffman
Capítulo 10, Sección 2,
pp: 731 - 736
Referencias: Cálculo - Hoffman
Capítulo 10, Sección 2,
pp: 731 - 736
miércoles, 23 de noviembre de 2011
lunes, 21 de noviembre de 2011
IMPORTANTE
Para el día de la evaluación de mañana, martes 21, traer una calculadora, y tener en cuenta que no está permitido prestarse.
viernes, 18 de noviembre de 2011
PROYECTO
Porfavor revisar el EVD ya que hay un material importante para entender mejor el proyecto de Matemáticas II
miércoles, 16 de noviembre de 2011
lunes, 14 de noviembre de 2011
viernes, 11 de noviembre de 2011
miércoles, 9 de noviembre de 2011
RECLAMOS
PC 5
47813302 - NUEVA NOTA: 12
45423775 - NUEVA NOTA: 09
73703368 - NUEVA NOTA: 20
74832128 - NUEVA NOTA: 20
70104609 - NUEVA NOTA: 08
47149536 - NUEVA NOTA: 14
71878902 - RATIFICADO
47670495 - RATIFICADO
EX 3
46509117 - RATIFICADO
47816227 - NUEVA NOTA: 15
9675581 - RATIFICADO
PC 6
70104609 - RATIFICADO
76349449 - RATIFICADO
70001207 - RATIFICADO
75095359 - NUEVA NOTA: 08
74144235 - NUEVA NOTA: 12
47813302 - NUEVA NOTA: 10
47717663 - NUEVA NOTA: 10
47813302 - NUEVA NOTA: 12
45423775 - NUEVA NOTA: 09
73703368 - NUEVA NOTA: 20
74832128 - NUEVA NOTA: 20
70104609 - NUEVA NOTA: 08
47149536 - NUEVA NOTA: 14
71878902 - RATIFICADO
47670495 - RATIFICADO
EX 3
46509117 - RATIFICADO
47816227 - NUEVA NOTA: 15
9675581 - RATIFICADO
PC 6
70104609 - RATIFICADO
76349449 - RATIFICADO
70001207 - RATIFICADO
75095359 - NUEVA NOTA: 08
74144235 - NUEVA NOTA: 12
47813302 - NUEVA NOTA: 10
47717663 - NUEVA NOTA: 10
martes, 8 de noviembre de 2011
miércoles, 2 de noviembre de 2011
Suscribirse a:
Comentarios (Atom)








































