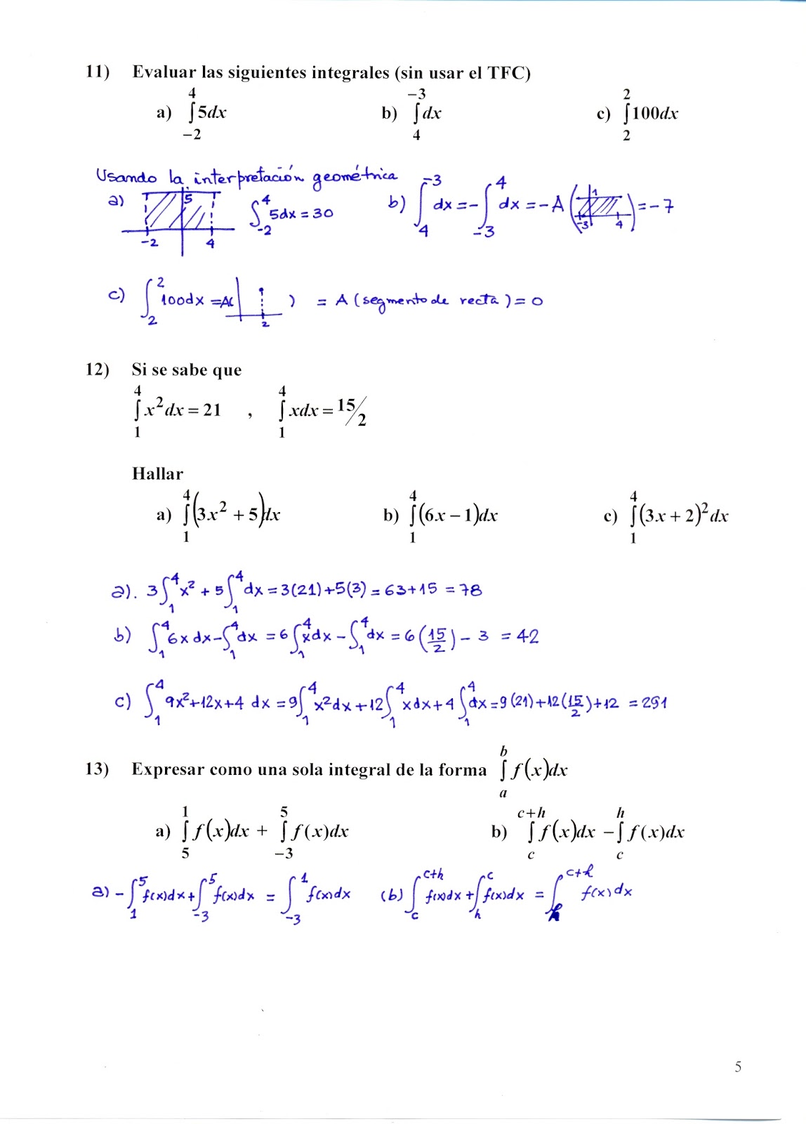
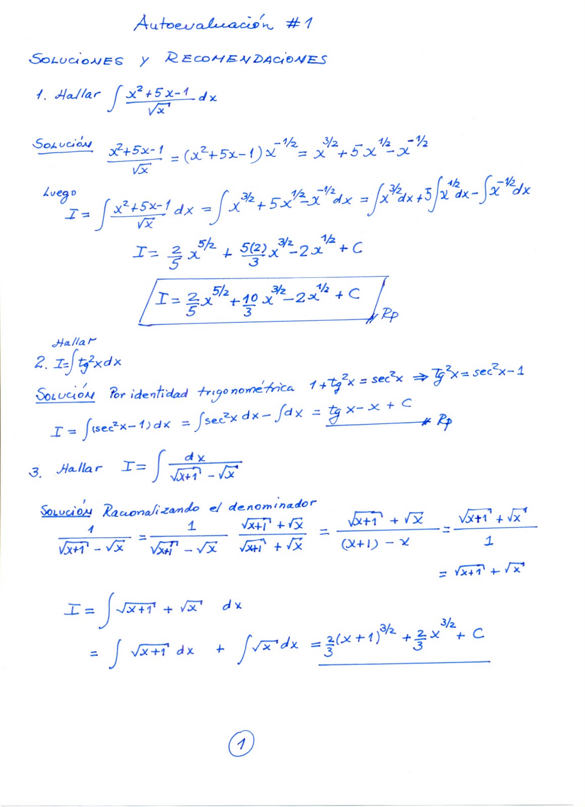
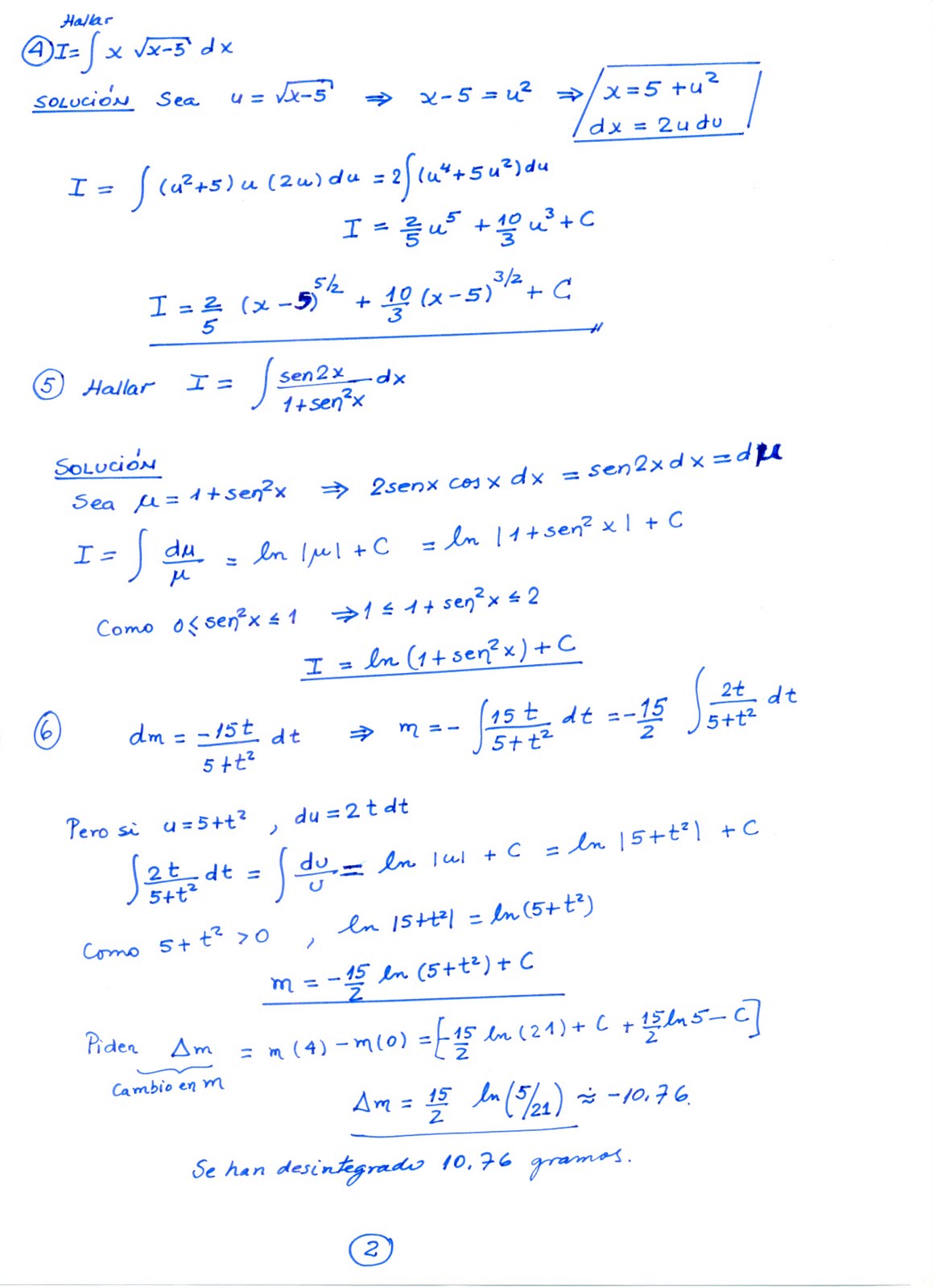
TEMAS PORCENTAJE
1. Integración por sustitución 30%
2. Problemas de aplicación 30%
3. Integración por partes 40%




























